-
계량경제학 중간고사 공략4경제학/실전압축계량경제학 2020. 6. 1. 19:43
오늘은 2014 중간고사 기출을 풀어본다

correlation에 대한 문제이다
공식을 알고 있어야 하는데

이렇다
분자에 있는 시그마 xy , 즉 xy의 공분산은

이렇게도 구할 수 있다
E(xy)가 문제인데

y를 x로 고쳐서 x를 곱해주면 된다

correlation 식에 대입하면


일반적으로 성립하지 않으니까 false

n이 커지면 consistent한 estimator는 어떻게 될까?

consistent한 estimator인 표본분산을 가지고 왔다

consistent한건 n이 무한대로갈때 분산이 0으로 수렴함을 보이면 된다

문제에 나와있는대로 n이 무한대로 커지면 기댓값이 시그마제곱으로 수렴한다
즉 불편향이 되어버림
그래서 true

Gauss markov Theorem에 따르면...
classical assumptions 5개가 만족될 때 ols가 blue(best linear unbiased estrmate)이라고 했으므로
가장 효율적이다
그래서 true 라고 했다 (확실하지않음)


봉우리가 튀어나온게 정규분포고 더 평평한게 t분포다
임계값은 정규분포일때 더 평균과 가깝다
그렇기 때문에 정규분포로 했을 때 기각안하면
t분포일 때도 기각되지 않는다
그래서 true


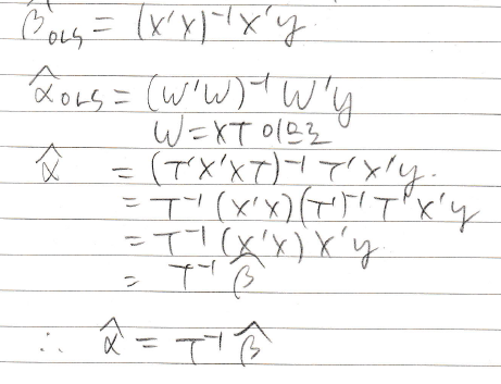
알파랑 베타의 관계식에서 알파의 계수 T를 구하면 되는구나 싶었다
일단 주어진 식을 정리한다

x를 기준으로 계수들을 묶어주었다
계수비교법으로 각 x들의 계수를 같다고 둔다면

T를 구할 수 있다
이렇게 하는게 맞는가 싶다
그다음 OLS를 구한다

a ols에 w에다가 xt를 대입하면 된다
그럼 아까 식 Ta=b에서 T를 이항한 꼴로 나온다

e햇과 u햇을 어떻게 구할까? y에 프로젝션 Q를 곱해주면 된다
Q는 I-P이므로 먼저 P를 구한다

결과적으로 P1이랑 P2가 같다
자동으로 Q1이랑 Q2도 같아진다

Q1을 곱해주면 e햇나오는 거고 Q2 곱해주면 u햇나오는 거였는데
곱해주는 값이 같으니 나오는 값도 같다

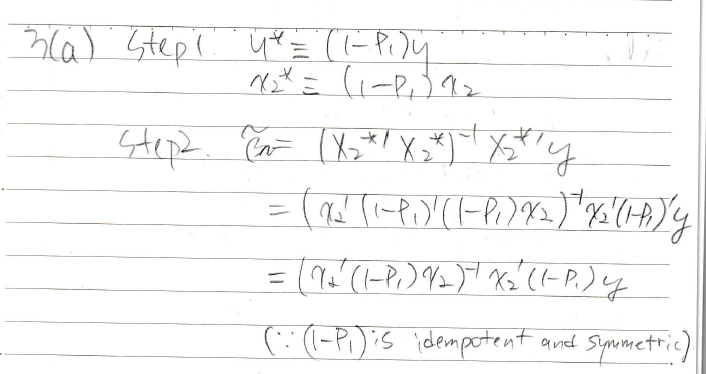
투스텝 리그레쎤을 또 하란다
전에 해봤던 거니까 간단히 넘어감

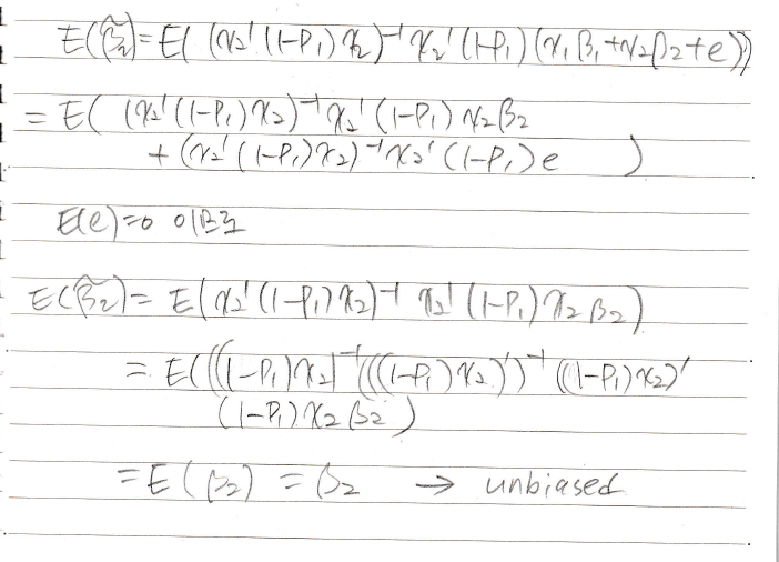
그 다음 불편향인지 체크하깅~
y를 원래식으로 바꿔서 대입한다

불편향이다 이말이야

베타2.... 시무룩??은 불편향일까?
저번에 했던 베타2바랑 비슷하다

당연히 편향이다
다만 x1이랑 x2가 직교하면 불편향임

직관적으로 그림을 이용해서 뭐가 다른지 표현하라신다
신유형이다!

다른 거를 표현하기 위해서 가로축에 x2를 쓰고 세로축에 x1을 썼다
뻗어나가는 y에서 x2에 수선의 발을 내리면 x2b2햇이 된다
그리고 세로축 x1에 평행하게 선을 그어 내리면 x2b2틸다가 된다
x1이랑 x2가 직교하지 않으면 두개는 같을 리가 없음

또 신유형이다!!
u틸다가 y바 어쩌고가 되는지 보이란다

b1틸다 b2틸다가 주어졌다니까 대입하면 이런 식으로 쓸 수 있겠다
우리가 궁금한건 u틸다니까 좌변에 u틸다만 남기고 나머지는 다 우변으로 옮겼다

y바와 같이 평균값을 만들어주려면 Pl을 써야한다는 걸 생각해내자

양변에 Pl을 곱해주었다

그러면 문제에서 시킨대로 증명이 된다
에러e의 평균은 0이다 왜? 그냥 그렇게 하기로 했었다 고전적 가정들에서...
2014 完
2015는 교수님이 수업 안하셔서 다음엔 2016이다
'경제학 > 실전압축계량경제학' 카테고리의 다른 글
계량경제학 기말고사 문제풀이 (1) 2020.07.10 계량경제학 중간고사 공략3 (0) 2020.05.28 계량경제학 중간고사 공략2 (0) 2020.05.24 계량경제학 중간고사 공략1 (0) 2020.05.23 02. OLS part2 (0) 2020.04.29