-
계량경제학 중간고사 공략1경제학/실전압축계량경제학 2020. 5. 23. 03:57
우리 교수님은 중간고사 대신에 기출을 풀어오라는 과제를 내셨다
그래서 문제를 푸느라 2주동안 고생하고 느낀 점은 OLS에 대한 설명은 구글에 찾아보면 많이 나와있는데
문제 풀이가 별로 없다는 점이다
다 개념설명만 해놓으면 나같은 사람은 문제를 어떻게 푸나? 짜증이 났다
그래서 과제 제출도 끝났겠다 내 솔루션을 공개한다
시험 범위는 대략 OLS 끝까지이다
내 블로그에는 OLS 끝까지 설명이 되어있지 않으니 다른 자료를 참고하면 된다
잠깐!! 내 풀이는 40점 만점에 32점을 받았다. 그니까 틀린게 좀 섞여있다
내 틀린 풀이를 참고하다가 불이익을 받아도 나는 책임지지 않는다. 그냥 참고만 해라
교수님은 솔루션을 공개하지 않았기 때문에 뭐가 틀렸는지 모르겠다
2011 mid

joint 확률밀도함수가 나왔다
a를 구하려면 Px가 뭔지 알아야한다 왜냐면

이렇게 분모에 들어가기 때문이다

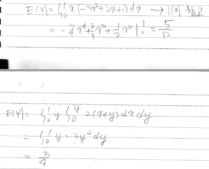
Px를 어떻게 구하냐면 가능한 y구간을 적분구간으로 두고 적분해주면 된다
문제 조건에서 y는 x랑 1사이에 끼어있으니까 x부터 1까지 적분하면 된다

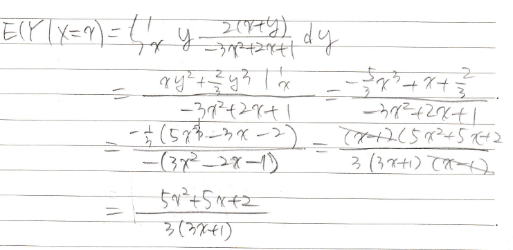
E(Y)는 기존에 p(x,y)식에다가 y곱해주고 y 가능한 구간 [x,1] 적분해주면 된다
계산실수 했을까봐 걱정된다

cov가 0이면 독립이고 아니면 독립이 아니다

공분산은 이런식으로 구할 수 있다


아무튼 0이 안나온다
독립아님
그리고 경제통계학수업에서 배운건데

문제 조건이 이럴 때 만약 x가 1이면 y는 꼼짝없이 1이어야하는 관계니까 서로 독립적이지 않다고 하셨던 것 같다
야매같아서 차마 과제에는 이렇게 쓰지 못했음

계속 나오는 유형의 문제이다

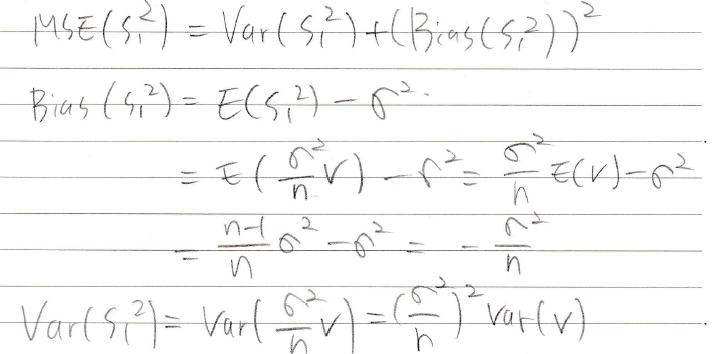
mse는 이런식으로 구할 수 있다

s^2는 unbiased라고 배웠다 그래서 그냥 bias는 0인거 알지만 과정을 한번 써봤다

분산은 이런식으로 구할 수 있다
V는 카이제곱 분포를 따르니까 평균은 n-1 분산은 2(n-1)임을 이용했다

그래서 MSE는 이렇다
이번엔 s1을 알아보자


s1의 MSE를 따로 쓰지는 않았는데...

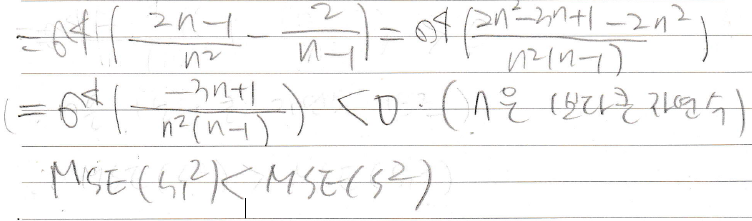
아무튼 두개 비교하라 그랬으니 빼줬다 달라진 점은 2가 괄호안으로 들어갔다는 점이다

계산해봤더니 s1의 MSE가 더 작더라~ 이말이다
MSE가 작으면 더 효율적이고 더 좋은거 아닌가??? 하면서 왜 s1이 더 좋다고 나오는지 한동안 고민했는데
효율성은 unbiased estimator끼리 비교하는 거라서 biased한 s1은 해당이 안되는 얘기였다

단원 이름을 까먹었다 중간 끝났다고 한 2주 놀아서...
아무튼 가설검정 문제가 나왔다

p값은 맨날 봐도 맨날 헷갈린다
한국어로 유의 확률이라고 하는데
통계적 가설 검정에서 유의 확률(有意 確率, 영어: significance probability, asymptotic significance) 또는 p-값(영어: p-value, probability value)은 귀무가설이 맞다고 가정할 때 얻은 결과보다 극단적인 결과가 실제로 관측될 확률이다. 실험의 유의확률은 실험의 표본 공간에서 정의되는 확률변수로서, 0~1 사이의 값을 가진다.
확률 변수 - 위키백과, 우리 모두의 백과사전
위키백과, 우리 모두의 백과사전. 확률론에서, 확률 변수(確率 變數, 독일어: Zufallsvariable, 영어: random variable)는 확률 공간에서 다른 가측 공간으로 가는 가측 함수이다. 이는 확률적인 과정에 따�
ko.wikipedia.org
라고 위키에 나와있다
그니까 관측값보다 더더더 극단적인 값이 나올 확률인 것이다
그렇기 때문에 이 p값이 작으면 관측값이 굉장히 드물게 나오는 값인 거고
그말은 즉 뽀록... 참이 아닌 값일 가능성이 높다는 이야기이다
그래서 signifiance level 하고 비교해서 작으면 가설 기각하고 크면 기각을 안하는게 테스트이다

표본분산만 알고 있기 때문에 T분포를 써야한다
그리고 H가양측 검정(?) 이기 때문에 2배를 해줘야 한다

이렇게 값이 너무 작아도 문제, 너무 커도 문제기 때문이다
아무튼 그래서 p값이 더 작기때문에 H0는 아주 예외적인 경우일 가능성이 많다~ 해서 기각한다

파워를 구하란다 1-베타= 파워 임을 잊지말자

스케일이 부정확하다 까먹고 베타=파워라고 써놨다가 눈물을 흘리며 과제를 수정했던 기억이 난다
아무튼 파워는 저렇게 true mean을 기준으로 확률 분포를 그리고
기존 평균 기준 임계값critical value보다 크거나 작은 부분에 색칠하면 된다

새로 그린 분포의 확률변수를 Y라고 했다

모분산을 모르기때문에 역시 T분포를 써야한다 자유도는 N-1이니까 10이다
교수님이 부록으로 분포표를 시험지 끝에 써 주셔서 참고했다

실제 시험에서는 계산기 못 쓰게 하실 것 같은데 걱정된다

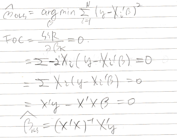
드디어 OLS 나왔다
지금까지는 옛날에 배운 내용이라 너도나도 잘한다

다시 문제로 돌아와서 저번 게시글에도 말했듯이 계량에는 5가지 기본 가정이 있다고 했다...

carefully 조심스럽게 설명하랬지만... 그냥 간단하게 했다...

OLS 구하는 과정을 보이라는 말인거같다

ols는 e'e를 가장 작게 하는 estimator이다
가장 작게 하려면 1계 도함수를 0으로 만드는 값을 찾아야 하는데 그게 바로 베타OLS다 이말이야
프린트에 나와있는 정석대로 써봤다

저번에도 강조했듯이 MM과 OLS의 비슷한점을 비교하라고 시키셨다

그래서 나는 이렇게 썼다. 영어 시험인데 한국어로 써도 되는지 궁금했다
4번은 기본적인 개념을 물어보는 문제여서 할만했다

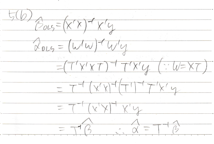
2 stage regression에 관한 문제가 나왔다
구글에 치면 사람들은 2sls 라고 많이 하던데... 어 지금 검색해보니까 조금 다른것 같기도 하다
잘 알아보고 배우도록 하자

이번 풀이는 자신이 없지만 아무튼 계수비교를 통해 T를 구할 수 있긴 하다
reparametrization 부분을 참고하면 될 것 같다

a ols를 구하고 b ols를 구하면 된다
아까 구했던 W=XT를 이용해야한다

OLS 공식에 각 식에 들어있는 변수 (b는 x , a는 w)를 집어넣은 다음 아지막에 w는 xt로 바꿔주면
아까(a)에서 구했던 관계랑 같은 관계가 나온다

프로젝션 P 공식을 기억해내면 된다

아까처럼 x랑 w를 각각 넣어서 구한다음 w를 xt로 바꾸면 놀랍게도 p1이랑 p2가 같은 것을 알 수 있다

p랑 직교하는 q를 구하란다...

그려놓은 것 같이 Py + Qy = y 이므로
py를 이항해서 y를 나눠주면 Q =I - P임을 알 수 있다

도형... 그래프를 이용해서 설명해야한다
P는 위에서, Q는 옆에서 빛을 쏴 그림자를 구하는 프로젝션이다

X는 X축 위에 놓여있는 막대기라고 생각하면 된다 X축위에 놓여있는 막대기에 P 방향으로 빛을 쏘면
당연히 똑같은 사이즈의 그림자가 생긴다 그래서 PX=X
반대로 X축에 놓여 있는 막대기에 옆으로 빛을 쏘면 그림자는 생기지 않는다( 막대기의 두께는 신경쓰지 않는다)
그래서 QX=0
e햇은 Y축 위에 놓여있는 (붙어있는) 그림자이다. 햇이 붙으면 그림자임
e햇을 구하려면 y에다가 Q방향으로 빛을 쏘면 된다
지금보니 그림을 저렇게 그리기보다 3차원으로 그려서 바닥을 X라고하고 높이를 Y라고 했다면 더 좋았을 것 같다
3차원 그래프는 지난 게시글을 참고하자
이렇게 2011 중간 기출이 끝이 났다
체감 난이도는 쉬움 정도? 다만 개념을 외워서 쓰는게 많아서 나는 잘 못봤을 것 같다
다음엔 2012를 풀어보자
'경제학 > 실전압축계량경제학' 카테고리의 다른 글
계량경제학 중간고사 공략4 (0) 2020.06.01 계량경제학 중간고사 공략3 (0) 2020.05.28 계량경제학 중간고사 공략2 (0) 2020.05.24 02. OLS part2 (0) 2020.04.29 01. Ordinary Least Squares (OLS) (1) 2020.04.29