-
게임이론 기출문제 중간고사 풀이경제학/게임이론 2022. 8. 28. 01:19
2022년 1학기에 들은 <게임이론과응용> 수업의 중간고사 풀이를 공유한다
90점 만점에 61점 받은 답안지라서 참고용으로만 쓰도록
문제의 저작권은 교수님께 있으므로 문제와 답안지의 무단 배포는 좀 곤란하다



일단 기업1과 기업2가 세일을 할때랑 안할때 각각의 케이스에 대한 이익을 표로 구한다
전체 고객 수를 K로 가정하였다

우월전략해를 갖기 위해서 여러가지 케이스를 점검한다
젤 먼저 i) 세일을 하는 것이 우월한 경우를 살펴보았다

이럴 때 성립한다

그 다음 세일을 안하는 것이 우월한 경우를 살펴보았다

아까랑 반대로 이럴 때 성립한다
베타의 범위도 구해야하는데 저렇게 구하는게 맞는건가 싶다

그 다음 1-2번 문제
혼합전략 내쉬균형에서는 선택 가능한 옵션의 기대보수가 모두 같다는 점을 이용했다
그러면 P를 구할 수 있는데 P는 세타에 비례하고 -> 정보를 아는 사람이 많을수록 세일하는게 유리
-> 세일하면 그만큼 더 많은 사람이 찾아옴
베타에는 반비례하다 -> 정보를 모르는 사람 중 기업1에 찾아가는 사람들의 비율이 높을 수록 세일하는게 불리
-> 어차피 기업1 찾아가니까 굳이 세일할 필요 x
좀 아리송하다

그 다음 2번
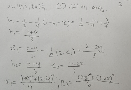
국가 간 무역하는 상황에서 관세율, 내수, 수출량, 시장가격을 구하는 문제이다

국가1의 생산자 이익 (파이1) 랑 국가2의 이익 (파이2)를 구하고
foc를 구해주면 된다. 조정할 수 있는게 h1, h2 ,e1, e2가 있으니까 잘 나눠서 식 1~4 를 구한다

식 1~4를 잘 연립하면 h1 h2 e1 e2를 xy에 관한 식으로 나타낼 수 있다
그 담에 추가적으로 파이1 파이2도 구한다

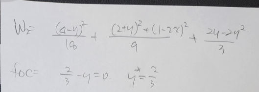
최종적으로 구해야 하는 것은 파이를 최대화 시키는 x랑 y의 값이다
먼저 x부터 구하면 국가1의 총 이익은 W1로 표현할 수 있다 이는 CS ( 소비자잉여 ) + 파이 + 관세이익으로 구했다
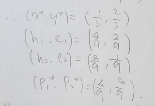
x는 W1을 x로 편미분하여 0이 되게 하는 값, 1/3이 나왔다

같은 방법으로 y도 구한다

정답은 이렇게 쌍으로 표현했다

3번은 무한반복게임 문제이다. 여러 시간에 걸친 게임은 할인인자 앱실론을 구해야 한다

경기자 1 입장에서 협조하거나 이탈(통수)하는 두가지 옵션이 있다
팃포탯, 그림 전략을 각각 쓰니까 일단 첫판에는 상대가 협조한다 (통수쳐서 이득보는게 가능)
그래서 경기자1이 협조하기로 맘먹으면 평생 3의 보수를 얻을 수 있다
이탈하기로 맘먹으면 처음엔 5의 보수를 얻고 이후로는 1밖에 얻을 수 없다
경기자 2가 무자비 전략(grim)을 사용하므로 아무리 싹싹빌어도 절대 협조해줄 일이 없다

무자비 전략 5가 1보다 큰데 협조안하고 이탈할 이유가 있냐?
있을 수도 있다. 오늘만 사는 사람은 당장 한탕 해먹는게 중요할 수도 있으니까 = 앱실론이 아주 작다
(3,3) 이 내쉬균형으로 달성되려면 경기자 2 입장에서도 협조하는게 이득이어야 한다
경기자2의 협조했을 때 보수와 이탈했을 때 보수도 구해서 앱실론의 범위를 계산한다
앱실론 범위 두개를 합쳐주면 끝

3-2 문제
부분게임일 경우에는 거꾸로 생각하면 된다
무한반복게임이라고 했는데 만약에 그게 아니라 원샷(한판) 게임이면?

경기자 1 입장에서 협조할까 이탈할까?
1. 경기자 2가 협조하는 경우 -> 협조하면 3, 이탈하면 5 = 이탈하는게 이득
2. 경기자 2가 이탈하는 경우 -> 협조하면 -1 (손해), 이탈하면 1 =이탈하는게 이득
따라서 경기자 1은 이탈하는 것이 우월전략이고, 경기자 2도 마찬가지이다

서로 이탈하는게 이득 그래서 부분게임완전균형은 서로 이탈 (D,D)가 되는 것이다

마지막 4번
호황일때랑 불황일때 담합할지 말지 고민하는 문제이다

만약 담합을 하면 이득이 얼마나 되고 안하고 경쟁하면 이득이 얼마인지 구해보았다
추가적으로 마지막에는 한쪽이 배신했을 때 이득도 구했다

이번에는 호황일때랑 불황일때를 나눠 계산하였는데 기억으로 아마 풀이가 정확하지 않았던 것 같다
고칠 시간이 없어서 그대로 낸 것 같은데 책에 있는 연습문제를 참고하는 게 좋을 듯

암튼 이런 해석이 현실적이냐?의 답은 No다
왜 비현실적이냐면 경기 변동에는 상관관계가 있기 때문에 기대 보수가 달라지기 때문이다
여기까지가 중간고사 리뷰이다
틀린게 많은것 같은데 열심히 한 내 정성이 아까워서 올려봤다
참고가 됐으면 좋겠고
나같이 못해도 A+받을 수 있으니까 다들 열심히 했으면 좋겠다 화이팅!